お知らせ
2025/12/17
プレスリリース
分子科学研究所の斎藤晃特任助教、長坂将成助教(兼 総合研究大学院大学助教)、佐藤宏祐特任助教、杉本敏樹准教授(兼 総合研究大学院大学准教授)と早稲田大学の手塚玄惟大学院生、松本宜樹大学院生(当時)、関根泰教授らの研究グループは、リアルタイム質量分析と種々のオペランド分光計測を組み合わせたマルチモーダル分析によって、温室効果ガスの資源化において重要なメタンドライリフォーミング反応(Dry Reforming of Methane, DRM)が触媒への電流印加によって生成する電子や正孔によって低温で促進されるメカニズムを解明しました。これまで、触媒への電流印加効果として局所加熱や触媒表面での電界集中といった様々な仮説が提唱されてきたことで、触媒開発の設計指針は諸説混沌としている状況にありました。今回の研究成果は電流印加触媒プロセスの根本的な動作機構を確立したものであり、今後の触媒材料開発やプロセス最適化に向けた基礎となります。
本研究成果は、アメリカ化学会の国際学術誌『The Journal of Physical Chemistry Letters』に、2025年12月11日付でオンライン掲載されました。
![]()
温室効果ガスである二酸化炭素(CO2)やメタン(CH4)を資源として活用することは、カーボンニュートラル(5)やサーキュラーエコノミー(6)の実現に向けて重要なアプローチとされています。また、これらの混合ガスは食品廃棄物などの有機物(バイオマス)の発酵によって得られる再生可能な資源(バイオガスと呼ばれる)としても注目されています。このような温室効果ガスの利用法の一つとして、CO2の還元とCH4の酸化を同時かつ一段で行うDRM反応が挙げられます。合成ガスは、水素製造やメタノール合成、合成燃料の原料として産業的に広く活用されています。しかし、CO2とCH4は非常に安定な分子であるため、従来のDRM反応では800℃以上の高温が必要とされ、多大なエネルギー消費や過酷な反応条件による触媒材料の劣化が長年の課題とされてきました。
近年、光や電気などの熱以外のエネルギーを活用して、より低温で触媒反応を進行させる技術が発展してきています。なかでも、直流電流(DC)を触媒に印加する手法では、約200℃程度の低温でDRM反応を誘起できることが報告されており、再生可能エネルギー由来の電力を利用するPower-to-Gas(7)技術としての応用が期待されています。しかしながら、触媒へのDC印加による反応促進の本質的なメカニズムについては未解明な点が多く、統一的な理解が得られていないため、高性能な触媒開発の設計や反応システムの最適化が困難となっていました。
今回、研究グループはパラジウムを担持した酸化セリウム触媒(Pd/CeO2)に印加する電流値を系統的に変化させながら生成物をリアルタイム質量分析することで、触媒活性が電流値に正の相関を示す一方で電圧値には負の相関を示すことを確認しました(図1a)。この結果は、触媒活性が触媒に注入する電子の量(電流値)に依存しており、電子の電気化学ポテンシャル(電圧値)は反応促進に寄与していないことを示しています。すなわち、電圧によって促進される電気化学反応や触媒表面の局所的な強電場形成による分子活性化とは異なるメカニズムでDRM反応が起こっていることを意味しています。また、生成物の定量分析と同時に、赤外カメラによって反応中の触媒サンプルの温度を可視化した結果、電流は触媒サンプルの一部を最短経路で流れており、ジュール熱によってその導通部が温度上昇している様子を捉えました(図1b)。そこで、電流印加をせずに触媒サンプルを外部から加熱することで、電流印加時の温度における熱触媒反応の寄与を評価したところ、該当温度領域では熱的なDRM反応がほとんど進行せず、電流印加量と直接相関する何らかの非熱的メカニズムで反応が促進されていることを突き止めました(図1c)。さらに、可視化した電流経路に焦点を当てた空間分解オペランド赤外吸収分光法により、電流の導通部に特有の反応中間体種が観測されたことから、導通部で非熱的な触媒反応が促進されていることが決定的となりました。

図1. (a) 電流印加下におけるPd/CeO2触媒のDRM活性の電流と電圧の依存性。反応は電流制御モードで行い、印加した電流と触媒材料の抵抗に応じた電圧に対する活性を評価している。 (b) 電流印加中の触媒ペレットの写真と赤外カメラで測定した温度分布。(c) 電流印加時の触媒サンプルの導通部温度に対する触媒活性と電流印加せずに触媒サンプルを加熱した場合の触媒活性の比較。
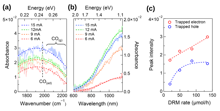
そこで、同研究グループは電流印加によって触媒に注入された電子や正孔といった電荷種が非熱的な反応促進に寄与していると考え、この仮説を検証するために、オペランド赤外吸収分光と可視・近赤外吸収分光による電荷種の観測を行いました。その結果、中赤外領域と近赤外領域において電流印加時に特有な吸収帯が現れることを観測しました(図2a, 2b)。中赤外領域と近赤外領域で観測された吸収帯はそれぞれ半導体であるCeO2中に局在する電子種と正孔種に帰属することができます。また、電流値の変化に応じてこれらの吸収帯が成長する挙動を捉えることに成功し、観測された電荷種の量が触媒活性と相関することを明らかにしました(図2c)。これらの観測結果は、電流印加によってCeO2に導入された電子と正孔がそれぞれ非熱的なCO2の還元とCH4の酸化を誘起していることを意味しています。一般に、CeO2はn型半導体として知られているため、電流印加時に電子のみならず正孔が注入されるという本測定の実験結果は自明なものではありません。そこで、UVSOR(8) BL-3Uビームラインで軟X線分光による触媒分析を行ったところ、電流印加によってCeO2中の4価セリウム(Ce4+)の一部が3価セリウム(Ce3+)へと還元されることが明らかとなりました。この部分的な還元によってCeO2に生じる局所的な格子歪が格子酸素アニオン(O2−)からCe4+への電荷移動(ligand-to-metal charge transferと呼ぶ)を誘起することでn型半導体であるCeO2に正孔が生成することも突き止めました。

図2. (a) オペランド赤外吸収分光で観測したCeO2の局在(トラップ)電子種に由来する吸収帯。DRM反応の進行によって生成する一酸化炭素種も同時に観測されている。(b) オペランド可視・近赤外分光で観測した局在(トラップ)正孔種。破線はフィッティングしたガウス関数。(c) DRM活性に対する電子・正孔種の吸収強度。特に、電子種の吸収強度が触媒活性と正の相関関係を示すことが明らかとなった。
本研究では電流印加触媒系のマルチモーダルオペランド計測によって、非熱的な反応促進の起源が触媒に注入された電荷種であることを世界初で明らかにし、電流印加触媒反応の本質的な動作原理を確立しました。これにより、DRM反応のみならず多様な化学反応へと展開されている電流印加触媒プロセスにおける高性能な触媒材料の開発指針を得ることができました。さらに、n型半導体であるCeO2における特異な正孔生成メカニズムの発見は、半導体物理における従来の古典的な伝導キャリアの描像を拡張し、固体物理と触媒化学の学際的な融合を促す新たな概念的基盤を築く成果といえます。今後、これらの知見は、秋田県大潟村で進められている稲わらからのバイオ燃料製造の実証事業における触媒開発へと活かされていきます。
(1) 不均一系触媒
触媒反応において、反応を促進するために反応物(主に気体や液体の分子)と異なる相を有する触媒のことであり、一般的には固体の触媒を指す。金属酸化物や炭素材料といった担体に金属微粒子を固定化(担持)した複合材料の場合が多い。反応物と同じ相の触媒は均一系触媒と呼ばれ、液相での有機合成反応に用いられる錯体触媒や分子触媒が代表例。
(2) 合成ガス
一酸化炭素(CO)と水素(H2)の混合ガスのこと。様々な化学品の原料となるメタノールの合成やフィッシャー・トロプシュ法による合成燃料(ガソリンやジェット燃料等)の製造に使われる他、水素を分離してアンモニア合成にも利用されるなど多様な用途がある。
(3) マルチモーダル計測
複数の異なる計測手法(multi-modeあるいはmulti-modality)を組み合わせて、分子や触媒といった計測対象の物理的・化学的な性質を多角的に同時分析すること。
(4) オペランド計測
オペランド"operando"はラテン語で"working","operating"という意味を持ち、反応中の触媒や動作中のデバイスの物理的・化学的な性質を計測することをオペランド計測という。
(5) カーボンニュートラル
脱炭素社会とも。地球温暖化の原因となるCO2などの温室効果ガスの排出量と、森林による吸収や工業的な貯蔵・利用による除去量を差し引いて実質的な温室効果ガスの排出をゼロにすること。
(6) サーキュラーエコノミー
循環経済とも。従来的な資源の採掘・使用・廃棄という一方通行な経済システム(リニアエコノミー)を脱却し、これまで不要とされてきた資源(あるいはエネルギー)の回収や再利用を通じて、環境負荷を低減し、持続可能な社会を目指す経済システム。
(7) Power-to-Gas(パワー・トゥ・ガス)
再生可能エネルギーで発電した電気から水素などのガス燃料を製造することで、電気エネルギーを化学エネルギーに変換する技術の総称。再生可能エネルギーを利用した発電は天候や時間によって発電量が変動するため、電力需要に応じた安定供給のために余剰電力を貯蔵する仕組みが必要となる。
(8) UVSOR(極端紫外光研究施設)
自然科学研究機構分子科学研究所に敷設されている放射光シンクロトロン施設。
掲載誌:The Journal of Physical Chemistry Letters
論文タイトル:"Nonthermal Catalytic Origin of DC-Enhanced Dry Reforming of Methane Unveiled by Multimodal Operando Analyses"(マルチモーダルオペランド計測による電流印加メタンドライリフォーミングの非熱的な触媒作用起源の解明)
著者:Harunobu Tedzuka, Hikaru Saito, Nobuki Matsumoto, Masanari Nagasaka, Hiromasa Sato, Yasushi Sekine, and Toshiki Sugimoto
掲載日:2025年12月11日(オンライン公開)
DOI:10.1021/acs.jpclett.5c03159
自然科学研究機構 分子科学研究所
早稲田大学
環境省「地域資源循環を通じた脱炭素化に向けた革新的触媒技術の開発・実証事業」
JSPS科研費
若手研究(25K18117)
学術変革領域研究(A)(24H02205)
基盤研究(A)(24H00487)
特別推進研究(23H05404)
国際共同研究加速基金(国際先導研究)(23K20034)
JST CREST(JPMJCR22L2)
JST ACT-X(JPMJAX24D7)
分子科学研究所 極端紫外光研究施設(UVSOR)(IMSプログラム、課題番号:24IMS6009, 23IMS6811, 23IMS6615)
杉本 敏樹(すぎもと としき)
自然科学研究機構 分子科学研究所/総合研究大学院大学 准教授
TEL:0564-55-7280
E-mail:toshiki-sugimoto_at_ims.ac.jp(_at_は@に変換してください。)
関根 泰(せきね やすし)
早稲田大学 理工学術院 教授
TEL:03-5286-3114
E-mail:ysekine_at_waseda.jp(_at_は@に変換してください。)
自然科学研究機構 分子科学研究所 研究力強化戦略室 広報担当
TEL:0564-55-7209 FAX:0564-55-7340
E-mail:press_at_ims.ac.jp(_at_は@に変換してください。)
早稲田大学 広報室
TEL:03-3203-5454
E-mail:koho_at_list.waseda.jp(_at_は@に変換してください。)
総合研究大学院大学 総合企画課 広報社会連携係
TEL:046-858-1629
E-mail:kouhou1_at_ml.soken.ac.jp(_at_は@に変換してください。)